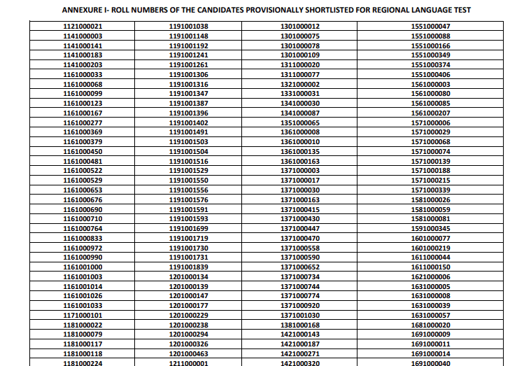
UIIC Assistant Pre Result 2024 – Out

UIIC Assistant Admit Card 2024

Post Name – Assistant

(United India Insurance Company Ltd. )

WWW.SARKARIUJALA.COM

IMPORTANT DATES

Exam Date – 06-02-2024

Admit Card – 30-01-2024

Result Date22-03-2024

VACANCY DETAILS

Exam Name – UIIC Assistant  Recruitment 2024

Total Vacancy- 300 Posts

RESULT STATUS

Available Now

MODE OF EXAM

Written Exam

UIIC Assistant Admit Card 2024

Post Description : UIIC United India Insurance Company Ltd Has Been Released Exam Date For UIIC Assistant Online Form 2023. Which Exam Date Is 06 February 2024.  Interested People Download Admit card With Using Your Roll No & DOB .

Instructions for Downloading the UIIC Assistant Admit Card 2024 :

1. In order to download their UIIC Assistant Admit Card 2024 candidates are required to go to the important link section provided below.

2. After getting the link candidates need to click it for downloading their UIIC Assistant Admit Card.

3. Candidates need to provide their following details-:

Registration No. /Roll No.

DOB/Password

Captcha Code(if specified)

4. After providing their details appropriately candidates will be able to download their UIIC Assistant Admit Card.

5.Candidates can also download their Admit Card from official site of the UIIC.

Download Pre Result

Click Here

Download Admit Card

Click Here

Download Exam Date Notice

Click Here

View Vacancy Details

Click Here

Join Telegram

Click Here

Official website

Click Here

Leave a Reply

Your email address will not be published. Required fields are marked *

Join WhatsApp Group