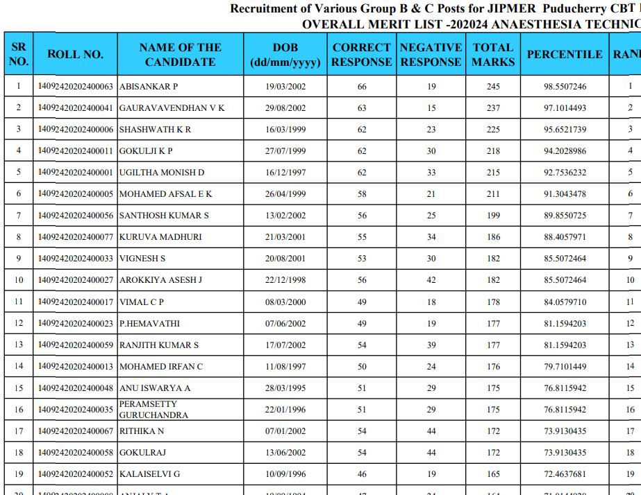
JIPMER Group B & C Result 2024 – Out

JIPMER Group B & C Admit Card 2024

Post Name – Group B & C

(Jawaharlal Institute Of Postgraduate Medical Education & Research)

WWW.SARKARIUJALA.COM

IMPORTANT DATES

Admit Card – 03-09-2024

Exam Date – 14-09-2024

Result Date16-10-2024

VACANCY DETAILS

Exam Name – JIPMER Group B & C Recruitment 2024

Total Vacancy – 209 Posts

RESULT STATUS

Available Now

MODE OF EXAM

CBT Exam

JIPMER Group B & C Admit Card 2024

Post Description : JIPMER Jawaharlal Institute Of Postgraduate Medical Education & Research Has Been Released Admit Card For JIPMER Group B & C Online Form 2024. Which Exam Date Is 14 September 2024.  Interested People Download Admit card With Using Your Roll No & DOB .

Instructions for Downloading the JIPMER Group B & C Admit Card 2024:

1. In order to download their JIPMER Group B & C Admit Card 2024 candidates are required to go to the important link section provided below.

2. After getting the link candidates need to click it for downloading their JIPMER Group B & C Admit Card.

3. Candidates need to provide their following details-:

Registration No. /Roll No.

DOB/Password

Captcha Code(if specified)

4. After providing their details appropriately candidates will be able to download their JIPMER Group B & C Admit Card.

5.Candidates can also download their Admit Card from official site of the JIPMER.

Download Result

Click Here

Download Admit Card

Click Here

Download Exam Date Notice

Click Here

View Vacancy Details

Click Here

Join Telegram

Click Here

Official website

Click Here

Leave a Reply

Your email address will not be published. Required fields are marked *

Join WhatsApp Group