Air Force IAF Group C Offline Form 2021

Indian Air Force IAF Group C Recruitment 2021

Post Name – Group C Civilian

(Indian Air Force)

WWW.SARKARIUJALA.COM

IMPORTANT DATES

Start Date – 28-08-2021

Last Date – 28-09-2021

Admit Card – Notify Later

Exam Date – Notify Later

 

FEE DETAILS

General/OBC/EWS – Rs. 0/-

SC/ST- Rs. 0/-

No Application Fee

JOB LOCATION

All India

AGE LIMIT

Minimum Age – 18 Years

Maximum Age – 25 Years

Age Relaxation: As Per Rules

Total Posts : 197 Posts

Post DescriptionIndian Air Force is inviting online applications for Group C Civilian for 197 posts. Interested people meet all the eligibility criteria, apply online

Details Of Recruitment Of Air Force IAF Group C Offline Form 2021

Posts NameGroup C Civilian

Number Of Posts197 Posts

Category Wise Posts

Store – 40 Posts

LDC – 09 Posts

Store Keeper – 12 Posts

Cook (OG) – 18 Posts

Painter  – 04 Posts

Carpenter – 14 Posts

C & SMW  – 01 Posts

A/C Mech & A/C Mech (A) – 02 Posts

Fitter (SK) – 03 Posts

House Keeping Staff (HKS) – 06 Posts

Laundryman – 02 Posts

Mess Staff – 05 Posts

MTS – 65 Posts

Tailor – 05 Posts

Tradesman Mate – 07 Posts

Hindi Typist – 01 Posts

Pay Scale   Level 1 to Level 4

Education Qualification

Supdt (Store)– Graduate (Bachelor’s Degree).

LDC–  12th Passed & English Typing 35 wpm in English or 30 wpm in Hindi on computer.

Store Keeper– 12th Class pass or equivalent qualification.

Painter / Carpenter / C&SMW / A/C Mech / Fitter / Tailor- 10th Class Pass with ITI in Related Trade.

Hindi Typist- 12th Passed & typing speed of 35 wpm in English or 30 wpm in Hindi on computer.

For All Other Posts-  10th Class / Matriculation Pass.

How to Apply Online Air Force IAF Group C Offline Form 2021 – Candidates can apply through link provided below or they can also apply through official site of the MP Online Services Selection Board before 28/Sep/2021.

Required Documents For Online Application

10th / 12th Mark sheet And Certificates

Aadhar Card / Pan Card

Passport Size Photo

Signature

Selection Mode

Written Examination

PET

PST

Final Merit List

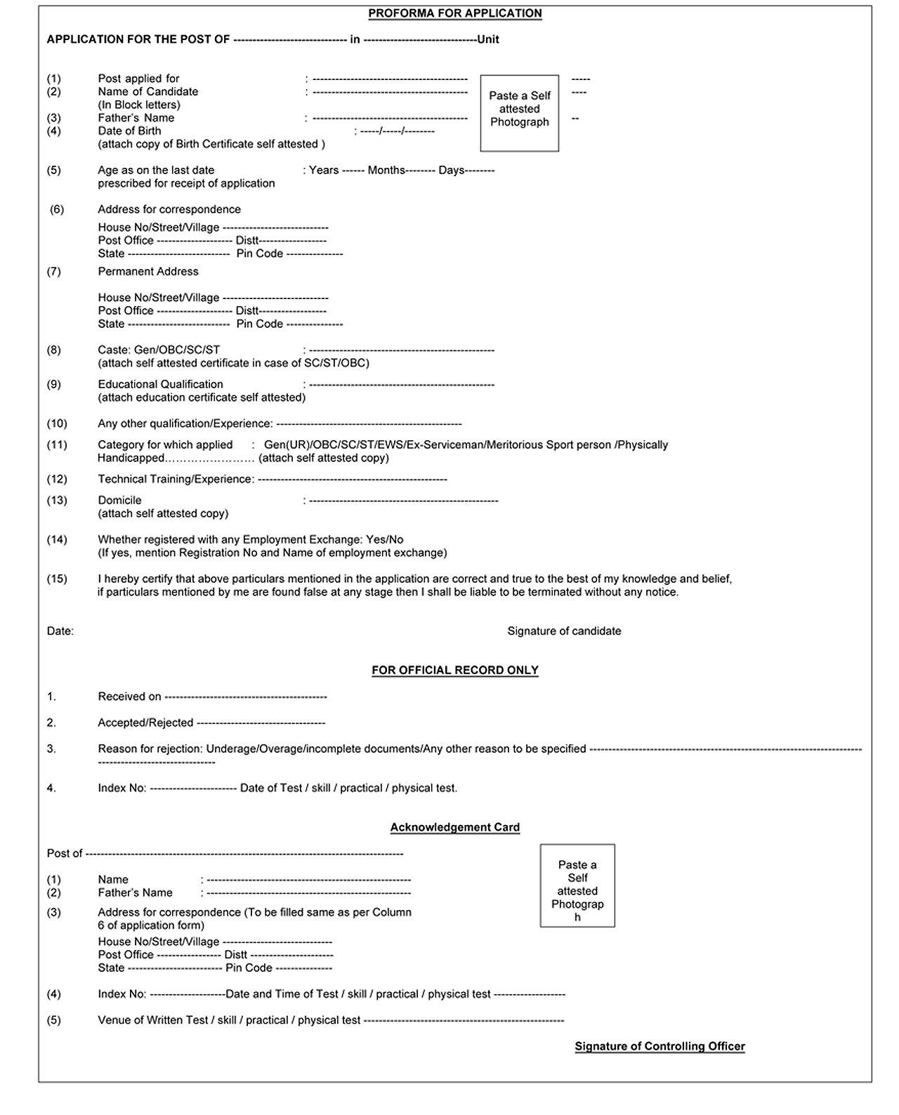
Download Application Form

Click Here

Download Notification

Click Here

Join Telegram

Click Here

Official website

Click Here

Leave a Reply

Your email address will not be published. Required fields are marked *

Join WhatsApp Group