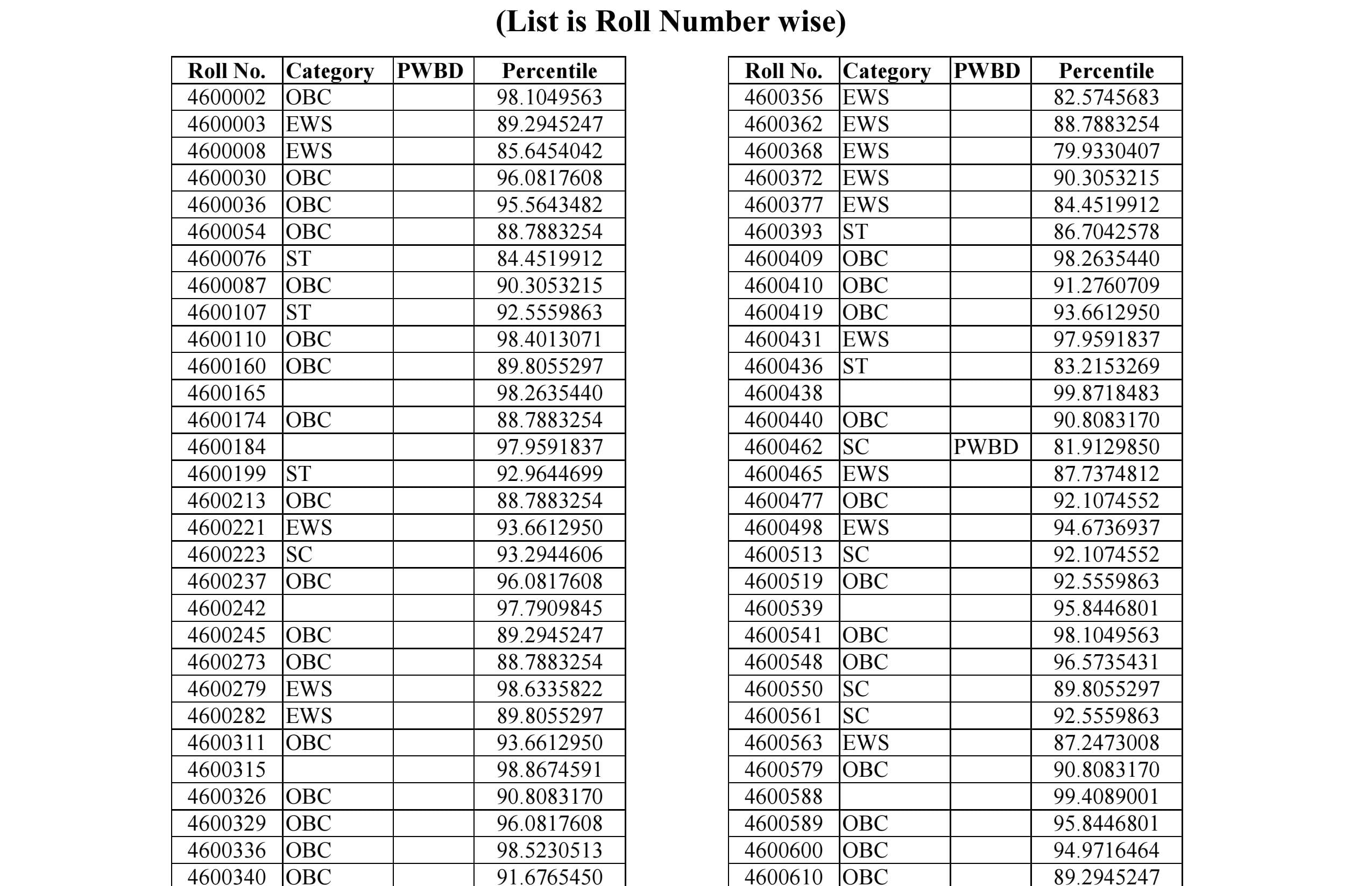
AIIMS Nursing Officer 7th 2024 Final Result- Out

AIIMS Nursing Officer 7th Admit Card 2024

(All India Institute of Medical Science, New Delhi)

Exam Name – Nursing Officer Recruitment Common Eligibility Test (NORCET- 2024)

WWW.SARKARIUJALA.COM

IMPORTANT DATES

Exam Date – 15-09-2024

Admit Card – 13-09-2024

Result Date- 19-09-2024

VACANCY DETAILS

Exam Name – AIIMS Nursing Officer Recruitment 2024

Total Vacancy- 1487 Posts

RESULT STATUS

Available Now

MODE OF EXAM

Written Exam

AIIMS Nursing Officer 7th Admit Card 2024

Post Description : AIIMS All India Institute of Medical Science, New Delhi Has Been Released Admit Card For AIIMS Nursing Officer 7th Online Form 2024. Which Exam Date Is 15 September 2024.  Interested People Download Admit card With Using Your Roll No & DOB .

Instructions for Downloading the AIIMS Nursing Officer 7th Admit Card 2024:

1. In order to download their AIIMS Nursing Officer 7th Admit Card 2024 candidates are required to go to the important link section provided below.

2. After getting the link candidates need to click it for downloading their AIIMS Nursing Officer 7th Admit Card.

3. Candidates need to provide their following details-:

Registration No. /Roll No.

DOB/Password

Captcha Code(if specified)

4. After providing their details appropriately candidates will be able to download their AIIMS Nursing Officer 7th Admit Card.

5.Candidates can also download their Admit Card from official site of the AIIMS.

Download Final Result

Click Here

Download Result

Click Here

Download Admit Card

Click Here

Check Exam City

Click Here

Download Exam Date Notice

Click Here

View Vacancy Details

Click Here

Join Telegram

Click Here

Official website

Click Here

Leave a Reply

Your email address will not be published. Required fields are marked *

Join WhatsApp Group